理论物理所在宇宙学和暗物质前沿交叉研究方向获得进展
今年3月,探测宇宙早期中性氢的21cm超精细电磁辐射的EDGES实验组宣布探测到了宇宙第一代恒星开始形成时的黎明时代(Cosmic Dawn,对应宇宙红移约17)相应的21cm 宇宙微波背景辐射吸收谱信号。这是人类历史上首次探测到来自宇宙黎明时代的信号,意义重大。但令人感到困惑的是,实验探测到的吸收信号幅度比标准宇宙学理论预测的可能最大幅度还大(置信度3.8σ)。迄今为止,标准宇宙学模型(ΛCDM)取得了巨大的成功,该理论框架相当准确地解释了我们宇宙的各种结构和性质。因此EDGES观测到的反常信号或许暗示着即将开启的一个后ΛCDM宇宙学时代,并且可能为解开暗物质之谜提供一个新途径。正如哈佛大学天体物理系的主任Abraham Loeb评论的那样:“The stakes are high because if the signal is real, this experiment is worth two Nobel prizes”。这个发现暗示了宇宙黎明时代中性氢气体的温度比标准宇宙学理论预期的更冷(或光子背景温度比预期的更热)。一般来说,提高中性氢气体的温度比较容易,但降低很难,因为降低中性氢气体的温度需要温度更低的暗物质来冷却,这对各种暗物质模型带来了巨大的挑战。目前大多数暗物质模型难以自然地解释EDGES的结果,因为必须同时满足目前粒子物理、天体物理、宇宙学及暗物质探测实验的大量限制。
EDGES宣布的结果引发了大量跟踪研究。近期,理论物理所李田军研究员及其合作者提出利用一种暗物质候选粒子——轴子来自然地解释这种反常的冷却效应。相关研究成果已发表于 Phys. Rev. Lett. 121, 111301 (2018)。
轴子(Axion)最初是为了解释Strong CP问题(即为什么在强相互作用中CP守恒)而引入的,是超出标准模型的新粒子。在包含轴子的标准模型扩展中,引入了额外的整体U(1)PQ对称性,该对称性在Peccei-Quinn能标(远高于QCD手征对称性破缺能标)自发破缺,Goldstone 理论告诉我们该模型包含一个无质量的赝标Goldstone玻色场,即轴子场。由于QCD瞬子效应(Instanton Effect)破坏整体U(1)PQ对称性,故此轴子场在QCD手征对称性破缺能标之下获得很小的质量。另外,源于超弦理论中二形式反对称张量场的四维紧致化,在弦论中也不可避免的存在类似属性的粒子,这类粒子一般称为类轴子。
轴子(Axion)和类轴子(Axion-Like Particles),属于WISPs (Weakly Interaction Sub-eV Particles),是一种理想的暗物质粒子候选者。轴子暗物质在早期宇宙演化的适当时期可通过引力相互作用在Condensed Regime形成玻色-爱因斯坦凝聚(Axion BEC),该凝聚态的量子特性使得中性氢气体与Axion的引力耦合得以加强。在此工作中,李田军及其合作者正是利用了暗物质轴子的玻色-爱因斯坦凝聚,在黎明时代前冷却中性气体氢,在此过程中,轴子凝聚形成的大尺度关联放大了这种冷却效应,因此,中性气体氢能够以一种简单合理的方式被冷却,最终自然地解释了EDGES观测到的反常信号。
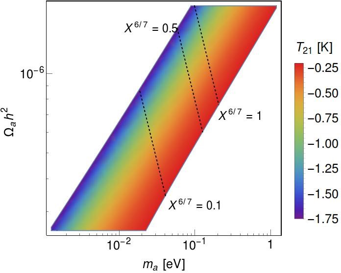
近年来,轴子成为暗物质实验探测的一个重要方向,粒子物理、天体物理与宇宙学的交叉研究也越来越受关注。轴子是暗物质非常有希望的候选者,并且探测Axion实验的花费也相对较便宜,使得人们提出了各种寻找轴子的实验方案,有的已初步进行了实验并得到重要的物理结果,例如CERN的太阳轴子望远镜CAST实验和华盛顿大学的ADMX等。有的正在计划当中,例如由CAST升级的下一代IAXO实验,另外还有欧洲空间局的EUCLID宇宙大尺度巡天望远镜等。这些实验都非常有希望检验轴子暗物质理论的参数空间。该工作预言的轴子质量范围是10-450meV(类轴子)和100-450meV(QCD轴子),正好处于下一代轴子探测实验IAXO及EUCLID的灵敏度范围内,故能被将来的实验检验。
该工作由中国科学院理论物理研究所李田军研究员,Nick Houston博士后,暨南大学物理系杨峤立副教授,中国科学院理论物理研究所李闯博士,中国科学院国家天文台研究生张欣同学合作完成。此研究是粒子物理学,宇宙学与天体物理领域交叉合作的研究成果。
论文链接:https://journals.aps.org/prl/abstract/10.1103/PhysRevLett.121.111301


附图:满足EDGES实验结果的轴子的参数空间范围:(图 1是Axion-Like Particles对应的参数空间,图 2是QCD Axion对应的参数空间,及其实验限制和 IAXO 的检验)。