理论物理所基于大动量有效理论计算部分子分布函数取得进展
在对质子/中子的研究中,部分子分布函数(PDF)及扩展(如广义部分子分布GPD,横向动量分布TMD等)处于核心的地位。这些分布函数描述了目前微扰QCD无法计算的核子内部结构特征。PDF的自变量是部分子的径向动量占核子总动量的百分比,而各种扩展的分布函数也依赖于横向的动量分布以及径向的动量转移。目前对PDF的了解主要来源于对深度非弹性散射(DIS)、半包含深度非弹性散射(SIDIS)、核子对撞和重夸克对产生等实验数据的拟合,其结果部分依赖于PDF的参数化形式;但是更精确的实验将对参数化的选取提供更强的限制,从而减小其依赖。同时,虽然目前的实验条件对PDF拟合在部分动量区域的精确度还有很大的限制,与参数化无关的拟合方案也在不断发展中。价夸克的PDF目前相对精确,而胶子以及奇异夸克和粲夸克等海夸克的PDF还有很大的不确定性。
各种PDF显式依赖于部分子场的光锥关联,因而无法通过使用格点QCD计算类空关联直接得到。但是在核子高速运动时,距离固定的两个部分子算符的类空关联对应的矩阵元并非洛伦兹协变;从而当核子动量足够大时,类空关联矩阵元对于距离和动量的依赖,可以基于因子化定理联系到PDF。基于上述思想,大动量有效理论(LaMET)框架为格点QCD直接计算分部函数提供了理论基础。
在LaMET框架下利用格点QCD方法,中科院理论物理研究所杨一玻副研究员与美国密西根州立大学和肯塔基大学的合作者共同探索了计算胶子非极化PDF的可能性,并参与了LP3合作组(包括美国密西根州立大学,上海交大,中科院理论物理研究所,美国麻省理工,德国雷根斯堡大学,台湾大学和美国康涅狄格大学等7家单位)对核子中上下夸克极化PDF之差的完整计算。相关论文近日发表在Phys. Rev. Lett. 121, 242001 (2018)和Phys. Rev. Lett. 121, 242003 (2018)。

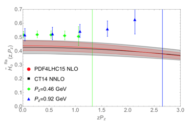
图1: 胶子非极化PDF的初步计算和实验分析的比较
在胶子非极化分布函数的探索中,作者们初步考察了计算所需的胶子算符在质子中的矩阵元,并估计了格点正规化下这些算符的重整化效应。如图1所示,去除主要的重整化效应后的结果(绿色与蓝色的数据点,对应动量为质子质量一半与相当的两种情形)和对实验的两种拟合(红色与灰色的曲线带)相符;但是未来还需要提高计算的统计准确度,完整计算算符重整化和匹配,并将核子的动量提高到核子的两到三倍,才能对胶子PDF的实验拟合提供精确检验。

图2: 上下夸克极化PDF之差的准确计算和实验分析的比较。图为质子动量为质子质量三倍的情形。
由于夸克的情形可以在同等计算开销下得到更高的统计准确度,LP3合作组在质子动量高达核子两到三倍的情形下,准确计算了核子中上下夸克极化PDF之差,完整计算了算符的重整化和单圈匹配,并估计了各种可能的系统误差。如图2所示,理论预言(带灰色误差带的红色曲线)与两种实验拟合(蓝色和绿色虚线带)在误差范围内符合,但是在大部分区域理论预言的统计误差(红色误差带)已经不是误差的主要来源。未来需要进一步控制来自高圈匹配计算,有限格距和有限体积等来源的系统误差,才能得到更精确的理论预言。
上述两项工作显示,经过理论和格点计算多年的发展,格点QCD已经具有了在LaMET框架下对夸克与胶子的PDF进行精确计算,并系统地改进计算结果的可能性。
原文链接:https://link.aps.org/doi/10.1103/PhysRevLett.121.242001
https://link.aps.org/doi/10.1103/PhysRevLett.121.242003