全粲四夸克态到底在哪里?
在粒子物理的标准模型中,夸克作为基本粒子,可以通过强相互作用(Quantum Chromo-dynamics, QCD)构成强子。但是由于QCD在低能区的非微扰性,准确地计算出强子的能谱仍然是个悬而未决的问题。
虽然不能准确地计算出强子的质量,但是我们可以通过模型对实验上发现的强子进行分类和解释。强子分为自旋整数的介子(π介子,K介子等)和自旋半整数的重子 (质子,中子等)。传统的夸克模型中,介子由一对正反夸克构成而重子由三个夸克构成。需要指出的是,虽然在夸克模型提出之初,实验上发现的大量强子态可以很好地归为这两类,但是QCD并不禁戒其它的构型,比如多夸克态,夸克胶子混杂态,完全由胶子构成的胶球等等 (见图1)。超出传统夸克模型的强子态被称为奇特(exotic)强子态。

图 1 普通强子态与奇特强子态的组分示意
本世纪以来,以2003年位于美国SLAC的BaBar实验和位于日本KEK的Belle实验分别发现粲奇异介子
和类粲偶素 X(3872) 为开端,大量的奇特强子态的候选者在各大高能物理实验中涌现出来,比较著名的还包括BaBar实验发现的类粲偶素 Y(4260)、BESIII 实验发现的四夸克态 Zc(3900)、LHCb 实验发现的3个 Pc 五夸克态等等。这些奇特强子态是近年来强子物理研究的焦点之一,它们的发现为我们理解低能强相互作用提供了新的平台和机遇,同时也带来了很大的挑战。科学家们提出了很多模型来解释这些奇特态,但目前还没有一个统一的理解,争议尚存。上面提到的类粲偶素的名字来源于它们的质量处在由一对正反粲夸克组成的粲偶素的质量区间,1974年由丁肇中组和里克特组发现的 J/ψ 便是首个被发现的粲偶素。
去年夏天,LHCb合作组公布了他们在质心能量为7、8和13 TeV的质子质子对撞实验中测得的 J/ψ-J/ψ 不变质量谱。从他们的实验结果中我们可以很清楚地看到一些非平庸的结构存在:阈值附近相对相空间因子的增强,6.5 GeV 附近的鼓包,6.75 GeV 附近的低谷以及6.9 GeV 附近的峰(见图2)。LHCb的分析中通过Breit–Wigner形式的参数化描述共振态,拟合实验数据,发现 6.9 GeV 附近的窄峰可用一个共振态 X(6900) 来描述。括号里的数字表示强子的以 MeV 为单位的质量,X(6900) 表示这是一个质量大约为质子质量7.3 倍的强子。
之前实验上发现的奇特强子态的候选者都会包含轻夸克(上,下,奇异夸克)成分,但是实验上一直没有得到全重(粲,底夸克)奇特态的信号,尽管很多理论预言了它们的存在。这次LHCb测到的 X(6900) 可以自然地成为一个全重四夸克态
的候选者,所以该结果一经公布便引起了很大的轰动,大量的理论工作跟进对这个共振峰的结构进行探讨。
中科院理论物理研究所研究员郭奉坤、博士研究生董相坤及其德国和俄罗斯的合作者们认为LHCb的实验数据中确实包含了全粲
四夸克态的信息,然而是否对应于 X(6900) 尚不能确定。一方面他们注意到,如果 X(6900) 是一个
的四夸克态,其质量比所有理论模型计算的基态高很多,所以它应该是个激发态。那么宽度应该更小、理应更容易探测的基态在哪呢?为什么实验数据中没有明显的信号呢?另一方面,在这个能区之内,存在很多粲偶素对的阈值(见图2)。这些阈值的效应可能会显著地影响J/ψ-J/ψ不变质量分布的线形,而且并没有体现在通常可以很好地描述窄的孤立共振态的Breit-Wigner参数化之内。也就是说,LHCb文章报告的 X(6900) 参数可能不准确,真正的
的四夸克态的质量可能与X(6900)相差甚远。

图 2 LHCb合作组测量的J/ψ-J/ψ不变质量分布和他们的拟合的结果(红色实线)。虚线代表粲偶素对的阈值。
考虑到上面的问题,理论物理所研究团队及其合作者经过分析,认为在上图所示的所有耦合道中J/ψ-ψ(2S)和 J/ψ-ψ(3770)与J/ψ-J/ψ的耦合可能是最强的,并且构造了满足幺正性(也就是几率守恒)的耦合道散射振幅。他们尝试了两种情况,一种是只考虑J/ψ-J/ψ和J/ψ-ψ(2S)的耦合,第二种是考虑三个道耦合。进一步考虑了因果性的限制之后,他们发现这两种情况都可以很好地描述实验结果 (见图3)。 拟合线形上的低谷和窄峰上的尖点表明这两个模型中耦合道都是非常重要的。


图 3 二耦合道(上)与三耦合道(下)模型对实验数据的拟合结果
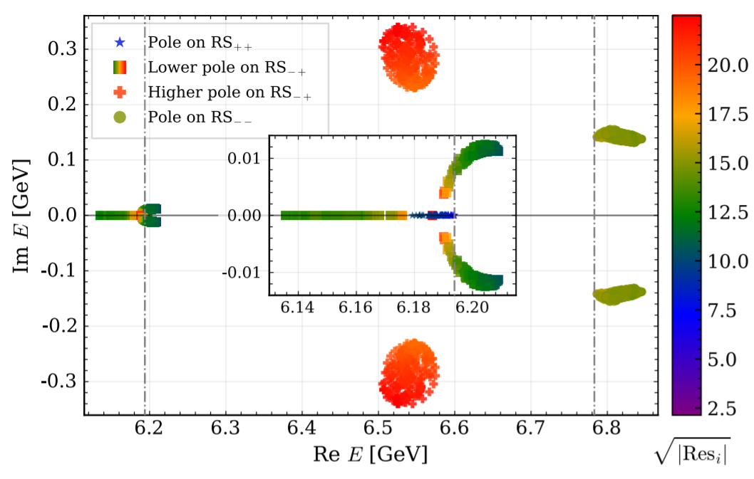
散射振幅的极点对应着一个由动力学产生的粒子(态),通过寻找拟合得到的散射振幅的极点就可以找到与 J/ψ-J/ψ 耦合的
四夸克态。他们发现虽然 6.9 GeV 附近的极点位置在两种情况下差别非常大,但是这两种情况都表明在 J/ψ-J/ψ 阈值附近存在一个
四夸克态(见图4)。他们还给出了检验这两种模型的实验方案。如果经过实验检验,如他们的三耦合道模型的结果显示的那样,J/ψ-J/ψ可以形成类似于原子核的强子分子态,那么由于重夸克偶素之间相互作用的相似性,可预期也会存在很多其它类似的两个粲偶素系统的强子分子态。它们之间的束缚机制还有待进一步研究,这将极大地推动我们对强子之间相互作用的认识。


图 4 二耦合道(上)与三耦合道(下)模型中散射振幅极点的位置。极点的实部对应于粒子质量,虚部绝对值的两倍大约对应于粒子的衰变宽度。颜色对应的数字为该极点处散射振幅的留数,数字越大表示与相应道的耦合越强。
该工作近日发表于 Phys. Rev. Lett. 126, 132001 (2021) 上。这项工作得到了国家自然科学基金委重点项目,中以合作研究项目,彭桓武理论物理创新研究中心,由国家自然科学基金委和德国DFG联合设立的中德跨学科重大合作研究项目CRC110,中科院B类先导专项,中科院前沿科学重点研究项目以及中科院粒子物理卓越创新中心的支持。