LPC合作组在光锥波函数与准-TMD重整化上取得进展
夸克与胶子如何构成核子,是粒子物理中物质组成研究的核心问题之一。高能情况下,基于现有的对撞机实验,核子沿运动方向的部分子结构组成已逐渐清晰,同时第一性原理出发的格点量子色动力学(QCD)也能对部分子分布函数(PDF)给出日益精确的理论模拟。但是理论预言Drell-Yan过程和半单举深度非弹性散射等过程需要核子的横向动量分布(TMD),这既是未来如筹备中的中国电子离子对撞机和美国电子离子对撞机等实验装置的主要目标之一,也是对格点量子色动力学理论预言能力的重要检验。
同时,轻赝标介子作为手征对称性自发破缺产生的赝Goldstone玻色子,在QCD的低能有效理论中扮演了至关重要的角色。其结构与对实验观测的影响一直受到关注。其中领头阶的光锥分布振幅(LCDA)描述了赝标介子中夸克与反夸克在介子运动方向上的动量如何分配,因此在B介子弱衰变、介子弹性形状因子、介子光子转移形状因子以及核子广义分布函数等方面都是重要的理论输入。
但是,在PDF和LCDA的定义(两者所用的算符相似)中,包含了沿光锥方向的规范场Wilson线,而TMDPDF的定义中更包含了沿光锥方向延伸到无穷远再折返的规范场Wilson线。从而它们都无法直接使用定义在欧氏空间中的格点QCD进行计算。大动量有效理论(LaMET)框架将光锥坐标系的物理视为高速运动粒子的有效理论,通过引入了空间方向的Wilson线来替代这些无法计算的光锥方向Wilson线,构造了格点QCD可以计算的准-光锥矩阵元。然后通过微扰的有效理论解析计算,就可以得到对PDF、LCDA和TMDPDF的预言。然而在格点QCD中,空间方向的Wilson线具有随Wilson长度指数增长的紫外发散,而对于准-TMD所需的无穷长Wilson线这个发散更是趋于无穷大,所以他们都需要通过非微扰重整化方法精确地消除。
非微扰重整化最常用的的方法是正规化无关的动量减除重整化(RI/MOM)方案。这种重整化方案使用离壳而具有类空动量的夸克矩阵元作为中转,利用紫外发散与外态无关的性质,来得到强子矩阵元的重整化常数。自1994年提出以来,RI/MOM方案已经广泛地应用于定域算符的重整化中,而在2017年被应用到准-PDF的重整化中[1]。该研究的计算结果显示在格距约为0.1fm时,MOM方案通过将强子矩阵元与离壳夸克矩阵元相除的方式,可以很好地消除强子准PDF矩阵元在格点正规化下的指数发散,得到了与实验符合的理论预言。但是在格距更小时,数据的误差迅速增大,很难判断指数发散的消除是不是完全。
因此理论物理所杨一玻课题组与

图1: 使用动量减除方案对准PDF矩阵元(与准LCDA矩阵元使用同样的算符)进行重整化的结果,不同颜色表示不同格距,颜色越暖格距越小。如图所示,动量减除方案不能在格距趋于0时趋于收敛的结果(格距越小,结果随格距变化越快)。三色条带显示的数据对同色数据点使用的离散化方案参数进行了一定优化,从结果看整体趋势不变。
LPC合作组基于研究[2]的数值结果,提出了使用多个格距的强子矩阵元,拟合重求和后的线性发散系数的“自重整化”方案[3],并应用于赝标介子的LCDA精确计算中[4]。如图2所示,自重整化方案能够完全消除准-LCDA矩阵元中来自Wilson线的紫外发散,从而可以安全地得到连续极限。进一步对这些矩阵元应用大动量有效理论的解析计算以修正其紫外发散行为,就可以得到图3所示的LCDA理论预言。同时,研究[4]也发现:1)相比之前LPC合作组对矢量介子LCDA的研究[5]中所使用的混合重整化方案,“自重整化”方案虽然在目前所使用的格距上没有高于系统误差的差异,但可以避免在更小的格距进行计算时出现剩余紫外发散;2)使用SMOM或者IMOM等在算符处有动量转移的RI/MOM衍生方案,也不能避免RI/MOM方案中的剩余紫外发散。研究论文已于近日发表在Phys. Rev. Lett.[4]。

图2: 使用自重整化方案得到的多种格距上的准LCDA矩阵元及其连续极限(红色条带)。相比动量减除方案,自重整化方案完全消除了线性发散,具有良好的连续极限。

图3: 格点QCD基于大动量有效理论对pi介子(左图)和K
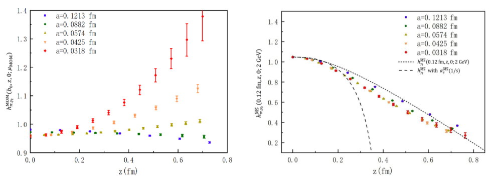
LPC合作组进一步考察了准-TMDPDF的情形,RI/MOM方案的问题也是类似的[6]。如图1所示,使用RI/MOM方案进行重整化时,使用不同颜色的数据点标记的不同格距的准TMD矩阵元在格距越小对格距的依赖越强,从而在格距趋于0时并不收敛。但是,如果结合Wilson圈的平方根与短距离强子矩阵元,则可以有效地消除准TMD算符中所有紫外发散,从而使不同格距的计算结果彼此吻合并在短程时与解析计算结果一致(图4)。研究论文已于8月发表在Phys. Rev. Lett.[6]。
图4: 使用动量减除方案(左图)和短程减除方案(右图)对准TMD矩阵元进行重整化的结果,不同颜色表示不同格距,颜色越暖格距越小。如图所示,动量减除方案不能在格距趋于0时趋于收敛的结果(格距越小,结果随格距变化越快);而短程减除方案可以得到收敛而与解析计算(虚线)在短程精确一致的结果。
同时,结合图1与图4中的数据可以得知,RI/MOM方案下准-PDF和准-TMD矩阵元的剩余发散几乎完全一致,只与正反夸克在强子动量方向上的距离有关,而与横向方向上距离无关。这一发现可能对于未来进一步统一准-PDF和准-TMD矩阵元的重整化方案具有启发性。
LPC合作组成立于2019年,包括中科院理论所、近物所、上海交大、北京师范大学、南京师范大学、中南大学、湖南师范大学、华南师范大学和德国雷根斯堡大学等机构的研究人员,立足中国国内格点QCD研究人员和超算资源开展强子结构的研究。LPC合作组由中国科学院理论物理所杨一玻研究员担任发言人,为合作组的LQCD计算提供架构和方案设计、以及数值计算培训。合作组自成立以来已发表七篇文章,包括Phys.Rev.Lett.四篇[4,5,6,7],Phys.Rev.D两篇[8,9],Nuc.Phys.B一篇[3]。
华南师范大学的华俊副研究员是赝标介子LCDA研究论文的第一作者,而中科院理论物理研究所博士生张宽是TMD重整化研究论文的第一作者。两篇研究论文的共同通讯作者为中科院理论物理研究所杨一玻研究员与北京师范大学张建辉教授。两项研究的数值计算主要依托中科东升1号超级计算机以及理论物理所先进计算平台完成,研究工作受到了中科院先导专项及其培育项目、国家自然科学基金以及中德合作研究项目的支持。
获取原文请进入参考文献链接。
[1] J. Chen, et al., LP3, PRD97(2018),014507
[2] K. Zhang, et al., QCD, PRD104(2021),074501;
[3] Y. Huo, et.al., LPC NPB969(2021),115443;
[4] J. Hua, et al., LPC, PRL129(2022),132001;
原文链接:https://journals.aps.org/prl/abstract/10.1103/PhysRevLett.129.132001
[5] J. Hua, et al., LPC, PRL127(2021),062002;
[6] K. Zhang, et al., LPC, PRL119(2022),082002,
原文链接:https://journals.aps.org/prl/abstract/10.1103/PhysRevLett.129.082002
[7] Q. Zhang, et al., LPC, PRL125(2020),192001;
[8] Y. Liu, et al., LPC, PRD101(2020),034020;
[9] M. Chu, et al., PRD106(2022),034509.