中国科学院物理所-理论物理所-国科大合作发现细菌流场诱导平板间长程吸引力
活性物质能够利用自身存储的能量或者周围环境的能量实现自驱动或对外做功, 是典型的非平衡态系统。自然界中小到介观尺度的细胞组织、细菌菌落,大到宏观尺度的蚁群、鱼群、鸟群、人群等,均是活性物质。近年来,活性物质逐渐成为软凝聚态物理和非平衡态统计物理的研究热点。活性物质的研究对追溯生物系统复杂现象的物理起源、发展非平衡态统计物理、设计新型智能材料、操控微纳机器人等均具有重要意义。
粒子之间的相互作用对复杂流体的稳定性、相行为和流变性的影响都至关重要。最近,粒子间有效相互作用的研究也已推广到由细菌和微型马达等组成的活性物质中,活性浴中被动粒子间的等效相互作用表现出与平衡态热浴中显著不同的性质,如振荡、长程、甚至约束依赖的有效力。但是目前,大多数关于活性有效相互作用的机制均是基于干性活性系统,在这些系统中流体力学效应被忽略,此时活性有效力可以完全归因于活性粒子与被动物体之间的直接碰撞。而活性粒子产生的流体运动可以显著地影响其中物体的自组装结构和动力学。特别地,细菌与固体表面之间的流体力学相互作用可以使细菌积聚并平行于表面游动。因此,一个有趣的问题是:流体力学相互作用如何影响活性流体中被动粒子间的有效相互作用?
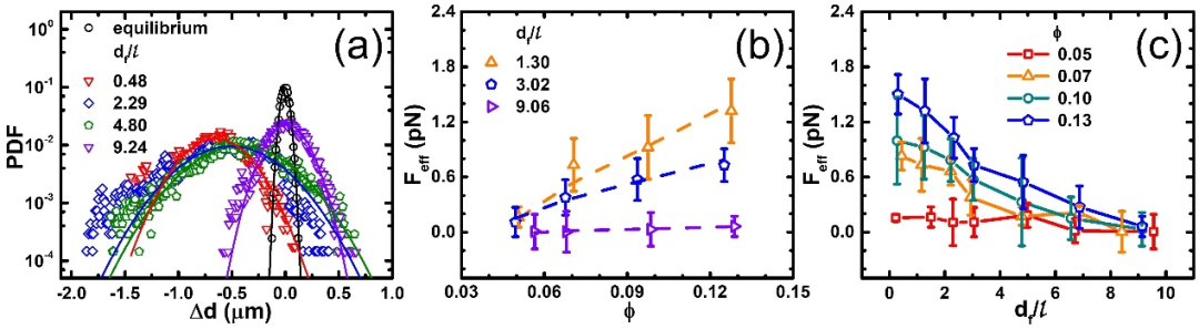
近期,中国科学院物理研究所/北京凝聚态物理国家研究中心软物质实验室彭毅团队、杨明成团队和陈科团队,与理论物理所孟凡龙团队和中国科学院大学周昕团队合作,采用光镊实验和介观流体力学模拟研究了在大肠杆菌溶液中,板状粒子间的有效相互作用,如图1所示,为实验和模拟系统图。在实验中发现,两板间存在长程的有效吸引力,此吸引力与系统中细菌浓度呈正比,随着板间距离的增大而减小(图2)。

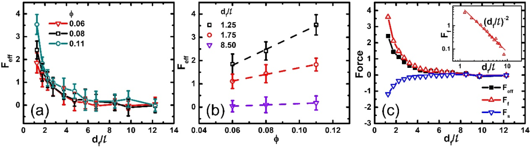
为了探究长程吸引力的微观机制,该研究团队比较了不同板间距离时,两板间和板外细菌的浓度和细菌角度的分布(图3)。在板间距离较小时,两板间的细菌浓度明显高于板外,同时板间的细菌更趋向于平行于板游动;随着板间距离的增加,板内外的差异减小,直到两板间有效相互作用为零,板间和板外的细菌浓度和细菌游动趋向性的差异均消失(图3(d))。板间浓度大,细菌碰撞板的概率增大,贡献的为有效排斥力;同时两板间细菌更趋向于平行于板游动,表明细菌流场贡献的为吸引力;并且细菌流场的贡献大于细菌碰撞的贡献,使得两板间有效相互作用最终表现为吸引力。计算机模拟也定量地证明了这一板间长程吸引力的物理机制(图4),得到了与实验一致的结论。同时还发现细菌流场贡献的板间吸引力与板间距离呈平方反比律,这一幂律关系得到了理论的证实,在实验中也得到了验证,进一步确认了板间长程吸引力是由细菌流场诱导的。
这一成果近期发表在PHYSICAL REVIEW LETTERS上,并被选为编辑推荐文章,被Physics报道。

图1. 实验(a)和模拟(b)-(c)中,在大肠杆菌溶液中固定的两平行板状粒子

图2. 实验结果:(a)在无细菌和有细菌溶液中,两板间距离相对于平衡系统中偏差的概率分布图。(b)不同板间距离时,板间有效吸引力与大肠杆菌浓度的关系。(c)不同细菌浓度时,板间有效吸引力与板间距离之间的关系
图3. 不同板间距离(a)-(d)时,细菌浓度(r)和细菌与板平行程度(Q)在两板间和板外的分布。

图4. 模拟结果。(a) 不同细菌浓度下,板间有效力与板间距离之间的关系。(b)不用板间距离时,板间有效吸引力与细菌浓度之间的关系。(c)在细菌浓度为0.08时,细菌流场和细菌碰撞对板间有效力的贡献,其中细菌流场贡献吸引力,细菌碰撞贡献排斥力。
原文链接:
https://journals.aps.org/prl/abstract/10.1103/PhysRevLett.131.158301
文章信息 Luhui Ning, Xin Lou, Qili Ma, Yaochen Yang, Nan Luo, Ke Chen, Fanlong Meng, Xin Zhou, Mingcheng Yang, and Yi Peng, Phys. Rev. Lett. 131, 158301 (2023)