如何自然地实现电弱对称性破缺是当今粒子物理学的一个深刻而艰巨的问题。希格斯粒子的发现表明电弱对称性是通过希格斯标量场的非零真空期望值来破缺的,是理解电弱对称性的一个里程碑。然而,基本希格斯粒子对紫外能标(普朗克能标)非常敏感,导致电弱破缺能标不能自然稳定在246 GeV。为了屏蔽希格斯粒子对紫外能标的敏感性,需要引入新物理和新的对称性。在这些新物理模型中,用于消除标准模型粒子(规范玻色子以及顶夸克)对希格斯场的圈图修正的紫外发散项的这些新物理伴子都参与标准模型的相互作用,尤其是顶夸克的伴子参与色动力学相互作用,这使得大型强子对撞机的直接探测对这些伴子的质量给出很高的下限。由于希格斯的质量对顶夸克伴子的质量非常敏感,125 GeV的希格斯要求顶夸克的伴子必须很轻,这使得模型在符合实验限制下很难获得很轻的希格斯粒子,导致模型需要很大的精细调节。 中性自然性机制是解决以上问题的一个很有前景的方案。在这个机制中,希格斯场的二次发散被不参与标准模型相互作用的中性伴子的圈图修正消除,使得希格斯粒子的质量只对这些中性伴子的质量敏感。而实验对这些中性伴子的质量的限制非常弱,这使得中性自然性模型可以非常容易产生很轻的希格斯粒子以及很重的带色的顶夸克伴子,并且精细调节非常小。 然而,目前并没有普适的原理和对称性来实现中性自然性机制,并且中性自然性模型并没有一个真正意义上的紫外完备理论。为了解决这些问题,中科院理论物理研究所的舒菁研究员及其合作者发现了一种非常普适的理论来实现这种机制。该研究成果已发表于Phys.Rev.Lett. 121 (2018) no.23, 231801。该工作表明在赝的Nambu-Goldstone希格斯模型中,三角宇称是实现中性自然性的关键,并且这个宇称是任何对称的陪集空间的内禀宇称。他们进一步发现,如果这些粒子和希格斯粒子的相互作用具有这个宇称对称性,那么中性自然性就可以自动实现。 
在这个原理下,此工作的研究者们进一步构建出最小中性自然性模型并且首次构建出了中性自然性模型的紫外完备理论。在这个紫外完备模型中,希格斯场的势能的紫外发散可以自动消除而不需要引入其他的机制;并且在符合实验观测的条件下,这种模型需要最小的精细调节就可以产生很轻的希格斯。 
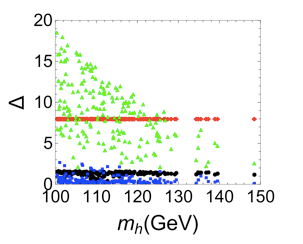
(不同参数的精细调节随希格斯质量的变化图) 该工作普适揭示了中性自然性的实现原理,对于解决希格斯粒子的自然性问题以及理解电弱对称性破缺具有非常重要的意义。 论文合作者包括理论物理所博士后马腾以及美国康奈尔大学教授Csaba Csaki。该研究得到中国科学院战略优先研究计划以及2016国家博新计划资助。 原文链接:https://journals.aps.org/prl/abstract/10.1103/PhysRevLett.121.231801 |