暗物质直接探测实验XENON1T位于意大利格兰萨索国家实验室地下,利用2吨重的液氙作为探测器,试图捕捉穿行其中,和原子核或者电子反应的暗物质踪迹。拥有极低的本底噪声以及吨级的靶,使得XENON1T给出过世界领先的暗物质限制。在刚发表不久的实验结果显示,对于电子反冲信号的搜索超过本底的预期。在反冲能量低于7千电子伏特的区域,有大约53个事例超出了本底的232个。这些信号是否来源于背景的低估,还是暗物质等新物理,成为了最近高能物理研究的热点话题。实验组尝试用太阳中跑出的轴子、暗光子或是携带反常电偶极矩的中微子来解释,然而来自天体物理比如红巨星或是白矮星冷却带来的限制却和这两种解释不兼容。
最近,理论物理所舒菁研究员和美国犹他大学赵悦助理教授研究团队的一项研究表明,这个溢出可以自然地被一种加速的暗物质解释。这些加速后的暗物质从某个特点方向穿过探测器,将液氙的核外电子电离产生超出的事例数。同时,研究预言,暗物质在穿行地球过程中会和地球内物质发生同样的相互作用而损失能量,且穿行距离随着地球自转而呈现以天为单位的周期性。这样一来,加速暗物质来源的方向就可以蕴含在这些以天为周期震荡的事例数中。
对于传统暗物质,其在太阳系附近的运动速度由维里定理通过星系引力势能决定,大约是光速的一千分之一。这个速度的暗物质和氙原子外电子散射时,其反冲能量较难达到XENON1T实验的阈值即1千电子伏特。要想产生超过阈值的信号,需要给暗物质加速,让其动能提高一千倍左右。暗物质加速机制在粒子物理模型中较为普遍。比如,在银河系中心,暗物质拥有着较高的能量密度,可以相互之间湮灭产生较轻的粒子。如果湮灭之后的产物仍旧有部分是标准模型外的粒子,湮灭前粒子的较大质量,会贡献到其动能上,而使之比其他的暗粒子跑得更快。此外,通过高能宇宙线碰撞、和太阳中高温的电子反应都可以提高暗物质粒子的动能,使其速度就远大于维里速度,可以完美地解释XENON1T实验发现的反常溢出信号(图一)。
图一: 加速暗物质解释XENON1T事例的例子能谱。其中,黑色格点为事例数,灰色线为预计的背景,橙色为拥有0.06倍光速暗物质电离核外电子产生的反常能谱,红色为预言的总事例数。
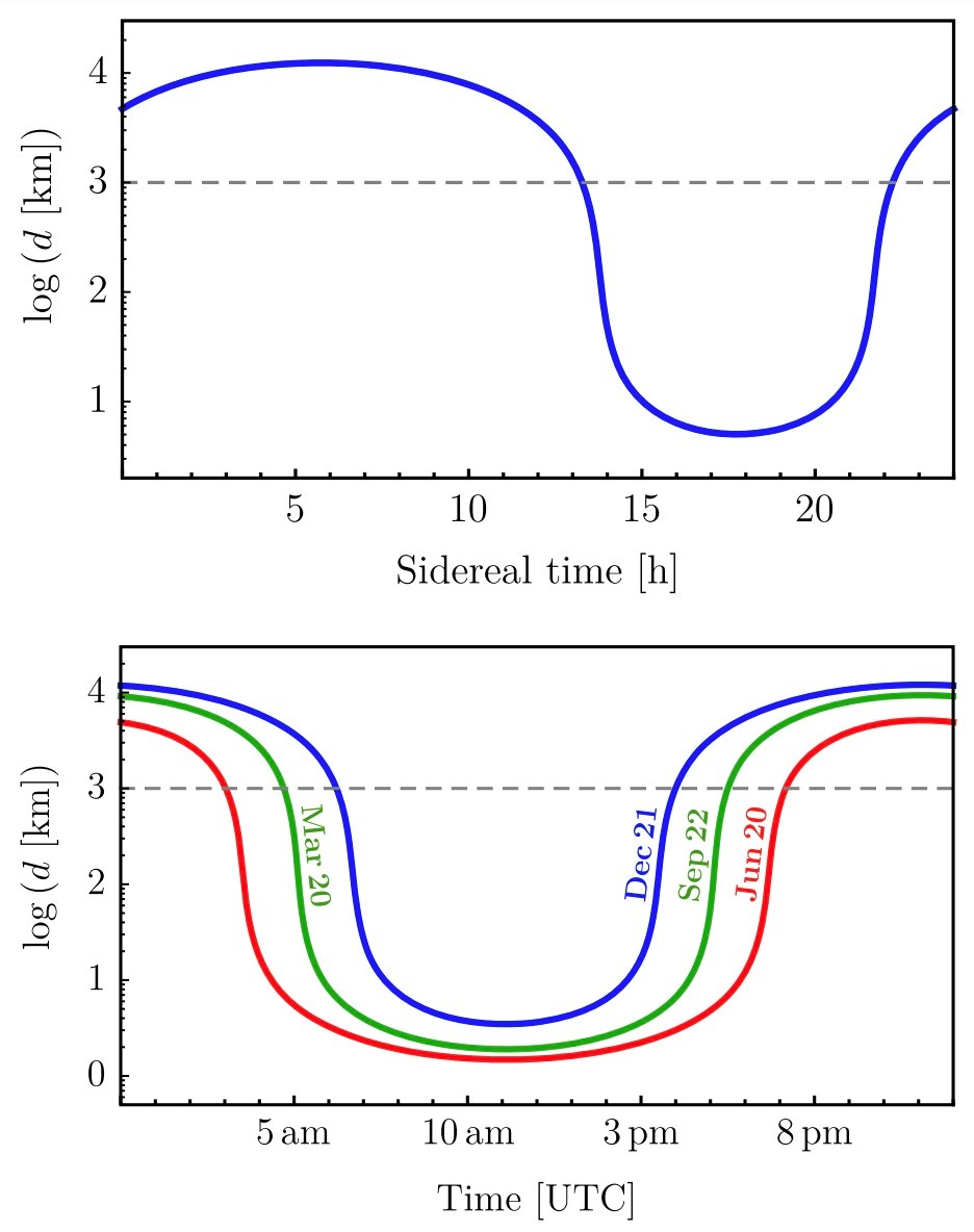
对于这些加速了的暗物质,和传统维里化暗物质不同的是,它们会从某一固定方向而来。银河系中心是较为自然的加速暗物质起源,但是我们也不能忽略从太阳而来的可能。甚至星系中一些不发光的成团物质也可以成为其真正的来源。一个独特的预言是可以通过信号在每天不同时刻的堆积情况来判定其的来源方向。由于用来解释反常的加速暗物质模型拥有着和电子较大的相互作用截面,其在地球内部的穿行会经历多次类似的散射。为了屏蔽背景噪声,XENON1T探测器位于意大利Gran Sasso国家实验室地下1.4千米。因此,加速暗物质和地球内部物质总会有一定程度的碰撞。由于地球的自传,从某一固定方向传来的加速暗物质在地球内部的穿行距离也会随时间而变(图二)。从探测器背后穿行过来的暗物质流必然小于正面对着时候的。如果能观察到这条以天为周期的曲线,那就可以从一定程度上重建出暗物质的来源。一般来说,能谱峰值的恒星时时刻对应于暗物质方向在赤道坐标系上的经度,而谱型的形状可以反映其纬度。这些信息可以一定程度上弥补了现有观测无法判断信号方向的限制,用以区分其是否是加速暗物质亦或只是错误的背景估算。

物质从银河中心传播到达格兰萨索国家实验室时穿越地球的距离在一个恒星日内的变化。下方为从太阳方向过来的加速暗物质穿行地球距离在一个太阳日的变化,同时随着季节不同而变。
这一研究发表在最新的Phys.Rev.Lett. 125 (2020) 16, 161804上, 并得到了编辑推荐(Editor’s Suggestion). 美国物理学会(APS)为上述研究成果在杂志《Physics》上专题报道撰文对公众加以解读。该项研究得到了国家自然科学基金重大项目、面上项目、中国以色列国际合作项目、理论物理专款“彭桓武理论物理创新研究中心”和中科院战略先导科技专项(B)的支持。
https://physics.aps.org/articles/v13/s132
原文链接:
https://journals.aps.org/prl/abstract/10.1103/PhysRevLett.125.161804 |