夸克与胶子如何构成核子,是粒子物理中物质组成研究的核心问题之一。高能情况下,基于现有的对撞机实验,核子沿运动方向的部分子结构组成已逐渐清晰,同时第一性原理出发的格点量子色动力学也能对部分子分布函数给出日益精确的理论模拟。但是理论预言Drell-Yan过程和半单举深度非弹性散射等过程需要核子的横向动量分布,这既是未来如筹备中的中国电子离子对撞机和美国电子离子对撞机等实验装置的主要目标之一,也是对格点量子色动力学理论预言能力的重要检验。 理论上研究核子中横动量依赖的结构函数是强子物理中近年来的热点问题,其中的核心困难在于获取沿正反光锥方向对撞并湮灭的部分子在给定横向动量时辐射胶子变化的贡献。这个变化行为被称为软函数,包含了依赖于部分子接近光锥的程度即快度的部分,也包含了快度无关的部分。两部分均依赖于横向动量,且在横向动量接近强子化特征能标时均无法从解析微扰论获得。上海交通大学季向东团队基于大动量有效理论框架提出了使用格点量子色动力学计算软函数的方案(如下图)。该方案的实际可行性依赖于具体数值方案的设计和在超级计算机上的高效运行。

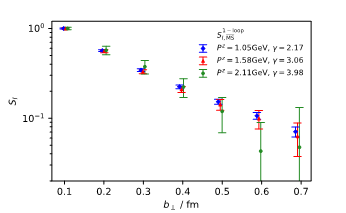
最近,LPC合作组基于CLS合作组的规范组态成功实现了对软函数的探索性计算,得到了和之前微扰与非微扰计算一致的快度依赖部分,发布了与快度无关部分的首个软函数图像,见下图,这为从第一性原理预言Drell-Yan等物理过程并依此研究核子结构提供了必要的理论支撑。研究论文已于近日发表在Phys. Rev. Lett. 。
李政道研究所博士后张其安是论文第一作者,共同通讯作者为物理与天文学院王伟副教授与中科院理论物理研究所杨一玻副研究员。由王伟带领的上海交通大学格点量子色动力学团队主持了数值和解析计算,中科院理论物理研究所杨一玻副研究员和南京师范大学孙鹏教授在计算方案和高效软件实现上提供了支持,德国雷根斯堡Andreas Schaefer教授和Maximilian Schlemmer博士在CLS组态的使用上提供了支持。该计算主要依托中国科学院战略先导专项XDC01040100完成;软件调试在上海交通大学高性能计算中心pi 2.0集群上完成,部分计算使用中国科学院理论物理研究所和南京师范大学的江苏省大规模复杂系统数值模拟重点实验室的高性能计算集群完成。
研究工作受到了国家自然科学基金、上海市重点实验室、教育部重点实验室等支持。
原文链接:https://journals.aps.org/prl/abstract/10.1103/PhysRevLett.125.192001 |